WilliamHill中文官方网站
设为首页
联系我们
加入收藏
学校主页
学院概况
学院简介
组织机构
领导职责
教育教学
学科建设
师资队伍
实验实训
教评监督
党建思政
党务制度
工会服务
活动开展
科学研究
科研动态
科研平台
学生管理
规章制度
日常管理
团学活动
优秀学子
就创服务
就业信息
创业指导
校友之家
优秀校友
校友互动
数字展厅
作品展示
专题展览
>
通知公告
> 正文
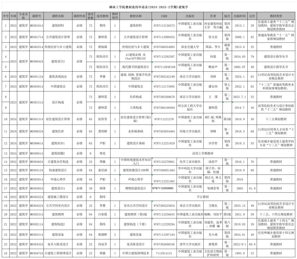
设计艺术学院2024-2025-2学期选用教材目录公示
发布日期:2024年12月20日
【
关闭
】